Kalkulator Simulasi Kredit Mobil EMI

KALKULASI akurat dan cepat atas angsuran flat kredit bulanan mobil pelanggan ditawarkan insureka! melalui kalkulator Equated Monthly Installment (EMI). Pelanggan bisa melakukan simulasi kredit mobil plus komparasi opsi angsuran bulanannya sekaligus sesuai kebutuhan. Elemen penyusun kalkulator kredit mobil EMI-nya pun didesain transparan oleh insureka! menurut sistem teknologi digital.

Cara Menghitung Cicilan Mobil dengan Mudah
insureka! selalu membantu pelanggannya menghadirkan stabilitas finansial yang sehat di masa mendatang. Kalkulasi detail pun diberikan terutama terkait perhitungan cicilan mobil para pelanggan. Menjadi input informasi komprehensif pra pembelian mobil, khususnya melalui transaksi kredit. Memastikan transaksi tersebut tetap menghadirkan stabilitas finansial yang sehat bagi pelanggan terutama di masa mendatang.
Dengan kemampuan yang dimilikinya, insureka! menghadirkan EMI melalui sistem terbaik. Menganalisa jumlah angsuran secara cepat melalui cara menghitung kredit mobil yang akurat atas beberapa komponen. Ada komponen harga unit, suku bunga berlaku, hingga tenor pinjamannya sesuai kebutuhan pelanggan. Adapun value positif yang bisa dioptimalkan oleh pelanggan atas sistem EMI yang diskembangkan insureka! adalah:
1. Estimasi Masa Pelunasan Angsuran Lebih Akurat
Melalui kalkulator EMI, pelanggan bisa mengetahui informasi harga mobil yang masuk pos angsuran, suku bunga kredit, hingga tenornya.
2. Komparasi Opsi Angsuran Sesuai Kebutuhan Pelanggan
Pelanggan akan mendapatkan opsi skema angsuran yang paling proporsional sesuai dengan kebutuhannya demi tetap terjaganya finansial yang sehat.
3. Opsi Perencanaan Finansial Lebih Baik
Pelanggan tetap memiliki finansial yang sehat dengan adanya opsi pembiayaan kredit mobil sesuai dengan kebutuhan.
4. Keluasan Opsi Pembayaran di Muka
Opsi informasi komprehensif guna mendapatkan potensi penghematan suku bunga dan tenor angsurannya.
Perhitungan Cicilan Mobil: Sesuaikan dengan Anggaran Anda
Kalkulator EMI yang dikembangkan insureka! memang menjadi guiding terbaik atas keputusan kredit mobil yang dijalankan. Pelanggan bisa mendapatkan komposisi angsuran dan cara menghitung cicilan mobil terbaik sesuai kebutuhannya. Efisiensi skema pembiayaannya dijamin kompetitif dengan formula proteksi atas risiko melalui produk jenis polis insureka!. Adapun opsi pembelian kredit tersebut bisa dijalankan atas beberapa brand mobil terkenal dengan skema eksklusif proteksi insureka!, yaitu:
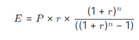
Brand otomotif dunia tersebut memang sangat menarik. Harga yang ditawarkannya pun semakin terjangkau dengan skema pembelian kredit melalui sistem EMI yang dikembangkan insureka!. Meski dikembangkan menurut sistem teknologi digital, namun pelanggan bisa melakukan kalkulasi manual cara hitung cicilan mobil melalui formula berikut ini, yaitu:

Keterangan:
- P merupakan Harga Mobil (Jumlah Pokok Pinjaman).
- r merupakan suku bunga menurut bulan.
- n merupakan tenor atau jangka waktu angsuran.
Lebih lanjut saat menggunakan formula kalkulator simulasi kredit mobil, pelanggan juga wajib memperhatikan Total Hutang Bunga. Total Hutang Bunga dihitung menurut angka kumulatif berdasarkan tenornya. Adapun gambaran perhitungannya, yaitu:
Total Hutang Bunga = (EMI x n) – P
Keterangan:
- P merupakan Harga Mobil (Jumlah Pokok Pinjaman).
- n merupakan tenor atau jangka waktu angsuran.

Panduan Simulasi Kredit Mobil: Hitung Cicilan Sebelum Membeli
Saat menggunakan sistem simulasi kredit mobil versi EMI, pelanggan wajib memperhatikan beberapa elemennya. Sebut saja, harga mobil yang menjadi pokok pinjaman bagi pelanggan hingga suku bunga kredit dan total pembayaran yang harus dilakukannya. Adapun secara detail, kalkulator kredit mobil versi EMI tetap dipengaruhi oleh beberapa variabel seperti, harga mobil, suku bunga, lalu hubungan antara harga mobil yang diplot dalam pos angsuran dengan suku bunganya. Perhatikan juga jangka waktu atau tenor angsurannya.
Untuk mendapatkan informasi perhitungan cicilan mobil dan angsuran terbaik, pelanggan bisa melakukan simulasi EMI melalui sistem yang dikembangkan insureka!. Pastikan informasi mobil yang akan dibeli diisi dengan benar menurut Merek, Model, dan Varian. Tentukan juga Jumlah Uang Muka, Suku Bunga, dan Tenor. Pelanggan dipersilahkan melakukan simulasi cara menghitung kredit mobil melalui EMI sebagai berikut:

Kalkulator Kredit Mobil: Hitung Sebelum Membeli!
Mengaplikasikan cara menghitung cicilan mobil komprehensif dan detail menjadi langkah terbaik sebelum melakukan transaksi pembelian mobil melalui kredit. Pastikan beberapa aspek terkait pembiayaan cara hitung cicilan mobil dipahami secara mendalam. Agar skenario pembiayaan tetap sehat, idealnya pelanggan menyertakan produk asuransi mobil sebagai faktor pengendali risiko, Rekomendasi produk proteksinya adalah insureka!. Lalu, mengapa harus produk insureka! tersebut?
- insureka! memiliki produk perlindungan lengkap dan disesuaikan dengan kebutuhan pelanggan. Jenis produknya adalah polis Comprehensive Premium, Comprehensive Basic, Total Loss Only (TLO), Katastropik Polis, dan Perlindungan Hybrid.
- Harga preminya terjangkau karena insureka! menerapkan batas bawah Persentase Premi Otoritas Jasa Keuangan (OJK). Ada juga diskon 25% untuk pembelian polis. Untuk perpanjangan polis diberikan reward berupa No Claim Bonus juga Renewal Promo (Syarat dan Ketentuan Berlaku).
- Registrasi dan klaim dijalankan online dengan beragam value ekonomi yang menguntungkan. Rasio pencairan #KlaimnyaLancarBanget dan tinggi dengan fasilitas Bengkel Prioritas.
- Pelanggan bisa berinteraksi dengan Customer Service insureka! melalui Live Web Call, WhatsApp, dan Telepon Kantor terlepas dari kalkulator simulasi kredit mobil.